Figure 3: External Inputs - 2048 neurons with external inputs

Neural Activity
External Inputs
GNN Training
Author

Cédric Allier, Stephan Saalfeld

This script reproduces paper’s Figure 3. We tested whether we could recover both network structure and dynamics, as well as unknown external inputs

Simulation parameters:

The simulation follows:

\[\frac{dx_i}{dt} = -\frac{x_i}{\tau_i} + s_i \tanh(x_i) + g_i \Omega_i(t) \sum_j W_{ij} \tanh\left(\frac{x_j}{\gamma_j}\right) + \eta_i(t)\]

The GNN learns:

\[\hat{\dot{x}}_i = \phi^*(\mathbf{a}_i, x_i) + \Omega_i^*(t) \sum_j W_{ij} \psi^*(\mathbf{a}_j, x_j)\]

The external input \(\Omega_i(t)\) is scalar field that modulates the connectivity for the first 1024 neurons. The neuron index \(i\) corresponds to a known spatial coordinate \(x_i\). The remaining 1024 neurons have \(\Omega_i = 1\).

Configuration and Setup

Code
print()
print("=" * 80)
print("Figure 3: 2048 neurons, 4 types, with external inputs Omega(t)")
print("=" * 80)

device = []
best_model = ''
config_file_ = 'signal_fig_3'

print()
config_root = "./config"
config_file, pre_folder = add_pre_folder(config_file_)

# load config
config = NeuralGraphConfig.from_yaml(f"{config_root}/{config_file}.yaml")
config.config_file = config_file
config.dataset = config_file

if device == []:
    device = set_device(config.training.device)

log_dir = f'./log/{config_file}'
graphs_dir = f'./graphs_data/{config_file}'

Step 1: Generate Data

Generate synthetic neural activity data using the PDE_N4 model. This creates the training dataset with 2048 neurons and external inputs.

Outputs:

  • Figure 3a: External inputs Omega_i(t) - time-dependent scalar field
  • Figure 3b: Activity time series
  • Figure 3c: Sample of 100 time series
Code
# STEP 1: GENERATE
print()
print("-" * 80)
print("STEP 1: GENERATE - Simulating neural activity with external inputs (Fig 3a-c)")
print("-" * 80)

# Check if data already exists
data_file = f'{graphs_dir}/x_list_0.npy'
if os.path.exists(data_file):
    print(f"data already exists at {graphs_dir}/")
    print("skipping simulation, regenerating figures...")
    data_generate(
        config,
        device=device,
        visualize=False,
        run_vizualized=0,
        style="color",
        alpha=1,
        erase=False,
        bSave=True,
        step=2,
        regenerate_plots_only=True,
    )
else:
    print(f"simulating {config.simulation.n_neurons} neurons, {config.simulation.n_neuron_types} types")
    print(f"external inputs: {config.simulation.n_input_neurons} neurons modulated by Omega(t)")
    print(f"generating {config.simulation.n_frames} time frames")
    print(f"output: {graphs_dir}/")
    print()
    data_generate(
        config,
        device=device,
        visualize=False,
        run_vizualized=0,
        style="color",
        alpha=1,
        erase=False,
        bSave=True,
        step=2,
    )

Fig 3a-b: (Top) External input field \(\Omega_i(t)\) shown on a 32×32 grid (left, first 1024 neurons) and sunflower arrangement (right, remaining 1024 neurons). (Bottom) Neural activity \(x_i\) at time \(t=0\).

Fig 3c: Sample activity time series for 100 neurons over 10,000 time steps. Y-axis shows neuron index.

Step 2: Train GNN

Train the GNN to learn connectivity \(W\), latent embeddings \(\mathbf{a}_i\), functions \(\phi^*/\psi^*\), and the external input field \(\Omega^*(x, y, t)\) using a coordinate-based MLP (SIREN).

Learning targets:

  • Connectivity matrix \(W\)
  • Latent vectors \(\mathbf{a}_i\)
  • Update function \(\phi^*(\mathbf{a}_i, x)\)
  • Transfer function \(\psi^*(x)\)
  • External input field \(\Omega^*(x, y, t)\) via SIREN network
Code
# STEP 2: TRAIN
print()
print("-" * 80)
print("STEP 2: TRAIN - Training GNN to learn W, embeddings, phi, psi, and Omega*")
print("-" * 80)

# Check if trained model already exists (any .pt file in models folder)
import glob
model_files = glob.glob(f'{log_dir}/models/*.pt')
if model_files:
    print(f"trained model already exists at {log_dir}/models/")
    print("skipping training (delete models folder to retrain)")
else:
    print(f"training for {config.training.n_epochs} epochs, {config.training.n_runs} run(s)")
    print(f"learning: connectivity W, latent vectors a_i, functions phi*, psi*")
    print(f"learning: external input field Omega*(x, y, t) via SIREN network")
    print(f"models: {log_dir}/models/")
    print(f"training plots: {log_dir}/tmp_training")
    print(f"tensorboard: tensorboard --logdir {log_dir}/")
    print()
    data_train(
        config=config,
        erase=False,
        best_model=best_model,
        style='color',
        device=device
    )

Step 3: Generate Publication Figures

Generate publication-quality figures matching Figure 3 from the paper.

Figure panels:

  • Fig 3d: Comparison of learned vs true connectivity W_ij
  • Fig 3e: Comparison of learned vs true Omega_i(t) values
  • Fig 3f: True field Omega_i(t) at different time-points
  • Fig 3g: Learned field Omega*(t) at different time-points
Code
# STEP 3: PLOT
print()
print("-" * 80)
print("STEP 3: PLOT - Generating Figure 3 panels (d-g)")
print("-" * 80)
print(f"Fig 3d: W learned vs true (R^2, slope)")
print(f"Fig 3e: Omega learned vs true")
print(f"Fig 3f: True field Omega_i(t) at different times")
print(f"Fig 3g: Learned field Omega*(t) at different times")
print(f"output: {log_dir}/results/")
print()
folder_name = './log/' + pre_folder + '/tmp_results/'
os.makedirs(folder_name, exist_ok=True)
data_plot(config=config, config_file=config_file, epoch_list=['best'], style='color', extended='plots', device=device, apply_weight_correction=True, plot_eigen_analysis=False)

Output Files

Rename output files to match Figure 3 panels.

Code
# Rename output files to match Figure 3 panels
print()
print("-" * 80)
print("renaming output files to Figure 3 panels")
print("-" * 80)

results_dir = f'{log_dir}/results'
os.makedirs(results_dir, exist_ok=True)

# File mapping for simple copies
file_mapping = {
    f'{graphs_dir}/activity_sample.png': f'{results_dir}/Fig3d_activity_sample.png',
    f'{results_dir}/weights_comparison_corrected.png': f'{results_dir}/Fig3e_weights_comparison.png',
}

for src, dst in file_mapping.items():
    if os.path.exists(src):
        shutil.copy2(src, dst)
        print(f"{os.path.basename(dst)}")

import glob
import numpy as np
import matplotlib.pyplot as plt
import matplotlib.image as mpimg

# Copy Fig 3a-b from generated frame (plot_synaptic_frame_visual output)
fig_file = f'{graphs_dir}/Fig/Fig_0_000000.png'
if os.path.exists(fig_file):
    shutil.copy2(fig_file, f'{results_dir}/Fig3ab_external_input_activity.png')
    print(f"Fig3ab_external_input_activity.png")

# Copy Fig 3c: Activity time series
if os.path.exists(f'{graphs_dir}/activity.png'):
    shutil.copy2(f'{graphs_dir}/activity.png', f'{results_dir}/Fig3c_activity_time_series.png')
    print(f"Fig3c_activity_time_series.png")

# Generate Fig 3f: True field Omega_i(t) montage from field images
print("generating Fig3f_omega_field_true.png (5-frame montage)...")
field_dir = f'{results_dir}/field'
frame_indices = [0, 10000, 20000, 30000, 40000]

fig, axes = plt.subplots(1, 5, figsize=(20, 4))
for idx, frame in enumerate(frame_indices):
    ax = axes[idx]
    # Find true field image for this frame
    true_field_files = sorted(glob.glob(f'{field_dir}/true_field*_{frame}.png'))
    if true_field_files:
        img = mpimg.imread(true_field_files[-1])
        ax.imshow(img, cmap='gray')
    ax.set_xticks([])
    ax.set_yticks([])
    ax.set_title(f't={frame}', fontsize=12)
    ax.axis('off')
plt.tight_layout()
plt.savefig(f'{results_dir}/Fig3f_omega_field_true.png', dpi=150)
plt.close()
print(f"Fig3f_omega_field_true.png")

# Generate Fig 3g: Learned field Omega*(t) montage from field images
print("generating Fig3g_omega_field_learned.png (5-frame montage)...")
fig, axes = plt.subplots(1, 5, figsize=(20, 4))
for idx, frame in enumerate(frame_indices):
    ax = axes[idx]
    # Find learned field image for this frame
    learned_field_files = sorted(glob.glob(f'{field_dir}/reconstructed_field_LR*_{frame}.png'))
    if learned_field_files:
        img = mpimg.imread(learned_field_files[-1])
        ax.imshow(img, cmap='gray')
    ax.set_xticks([])
    ax.set_yticks([])
    ax.set_title(f't={frame}', fontsize=12)
    ax.axis('off')
plt.tight_layout()
plt.savefig(f'{results_dir}/Fig3g_omega_field_learned.png', dpi=150)
plt.close()
print(f"Fig3g_omega_field_learned.png")

print()
print("=" * 80)
print("Figure 3 complete!")
print(f"results saved to: {log_dir}/results/")
print("=" * 80)

Figure 3 Panels

Fig 3d: Comparison of learned and true connectivity.

Fig 3e: Comparison of learned and true \(\Omega_i\) values.

Fig 3f-g: True and Learned External Input Fields

Showing \(\Omega_i(t)\) at frames 0, 10000, 20000, 30000, 40000.

True field \(\Omega_i\) at frame 0.

Learned field \(\Omega^*_i\) at frame 0.

True field \(\Omega_i\) at frame 10000.

Learned field \(\Omega^*_i\) at frame 10000.

True field \(\Omega_i\) at frame 20000.

Learned field \(\Omega^*_i\) at frame 20000.

True field \(\Omega_i\) at frame 30000.

Learned field \(\Omega^*_i\) at frame 30000.

True field \(\Omega_i\) at frame 40000.

Learned field \(\Omega^*_i\) at frame 40000.

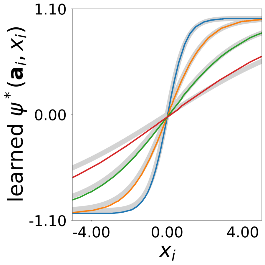
Supplementary Figure 15: Learned Functions

Learned latent embeddings and functions from Figure 3 training.

Supp. Fig 15f: Learned latent vectors \(a_i\).

Supp. Fig 15g: Learned update functions \(\phi^*(a, x)\). Colors indicate true neuron types. True functions are overlaid in light gray.

Supp. Fig 15h: : Learned transfer function \(\psi^*(x)\), normalized to a maximum value of 1. True functions are overlaid in light gray.