Supplementary Figure 11: large scale - 8000 neurons

Neural Activity
Simulation
GNN Training
Large Scale
Author

Cédric Allier, Stephan Saalfeld

This script reproduces the panels of paper’s Supplementary Figure 11. Large scale test with 8,000 neurons and 64 million connectivity weights.

Simulation parameters:

The simulation follows Equation 2 from the paper:

\[\frac{dx_i}{dt} = -\frac{x_i}{\tau_i} + s_i \cdot \tanh(x_i) + g_i \cdot \sum_j W_{ij} \cdot \tanh(x_j) + \eta_i(t)\]

Configuration and Setup

Code
print()
print("=" * 80)
print("Supplementary Figure 11: 8000 neurons, 4 types, dense connectivity (64M weights)")
print("=" * 80)

device = []
best_model = ''
config_file_ = 'signal_fig_supp_11'

print()
config_root = "./config"
config_file, pre_folder = add_pre_folder(config_file_)

# load config
config = NeuralGraphConfig.from_yaml(f"{config_root}/{config_file}.yaml")
config.config_file = config_file
config.dataset = config_file

if device == []:
    device = set_device(config.training.device)

log_dir = f'./log/{config_file}'
graphs_dir = f'./graphs_data/{config_file}'

Step 1: Generate Data

Generate synthetic neural activity data using the PDE_N2 model with 8000 neurons. This creates a large-scale training dataset with 64 million connectivity weights.

Outputs:

  • Sample time series
  • True connectivity matrix \(W_{ij}\) (8000×8000 = 64M weights)
Code
# STEP 1: GENERATE
print()
print("-" * 80)
print("STEP 1: GENERATE - Simulating neural activity (8000 neurons)")
print("-" * 80)

# Check if data already exists
data_file = f'{graphs_dir}/x_list_0.npy'
if os.path.exists(data_file):
    print(f"data already exists at {graphs_dir}/")
    print("skipping simulation, regenerating figures...")
    data_generate(
        config,
        device=device,
        visualize=False,
        run_vizualized=0,
        style="color",
        alpha=1,
        erase=False,
        bSave=True,
        step=2,
        regenerate_plots_only=True,
    )
else:
    print(f"simulating {config.simulation.n_neurons} neurons, {config.simulation.n_neuron_types} types")
    print(f"generating {config.simulation.n_frames} time frames")
    print(f"connectivity matrix: {config.simulation.n_neurons}x{config.simulation.n_neurons} = 64M weights")
    print(f"output: {graphs_dir}/")
    print()
    data_generate(
        config,
        device=device,
        visualize=False,
        run_vizualized=0,
        style="color",
        alpha=1,
        erase=False,
        bSave=True,
        step=2,
    )

Supp. Fig 11b: Sample time series taken from the activity data (8000 neurons).

Supp. Fig 11c: True connectivity \(W_{ij}\) (8000×8000 = 64 million weights). The inset shows 20×20 weights.

Step 2: Train GNN

Train the GNN to learn the 64 million connectivity weights, latent embeddings \(\mathbf{a}_i\), and functions \(\phi^*, \psi^*\).

The GNN optimizes the update rule (Equation 3 from the paper):

\[\hat{\dot{x}}_i = \phi^*(\mathbf{a}_i, x_i) + \sum_j W_{ij} \psi^*(x_j)\]

Code
# STEP 2: TRAIN
print()
print("-" * 80)
print("STEP 2: TRAIN - Training GNN to learn 64M connectivity weights")
print("-" * 80)

# Check if trained model already exists (any .pt file in models folder)
import glob
model_files = glob.glob(f'{log_dir}/models/*.pt')
if model_files:
    print(f"trained model already exists at {log_dir}/models/")
    print("skipping training (delete models folder to retrain)")
else:
    print(f"training for {config.training.n_epochs} epochs, {config.training.n_runs} run(s)")
    print(f"learning: 64M connectivity weights, latent vectors a_i, functions phi* and psi*")
    print(f"models: {log_dir}/models/")
    print(f"training plots: {log_dir}/tmp_training")
    print(f"tensorboard: tensorboard --logdir {log_dir}/")
    print()
    data_train(
        config=config,
        erase=False,
        best_model=best_model,
        style='color',
        device=device
    )

Step 3: GNN Evaluation

Figures matching Supplementary Figure 11 from the paper.

Figure panels:

  • Supp. Fig 11d: Learned connectivity matrix (64M weights)
  • Supp. Fig 11e: Comparison of learned vs true connectivity
  • Supp. Fig 11f: Learned latent vectors \(\mathbf{a}_i\)
  • Supp. Fig 11g: Learned update functions \(\phi^*(\mathbf{a}_i, x)\)
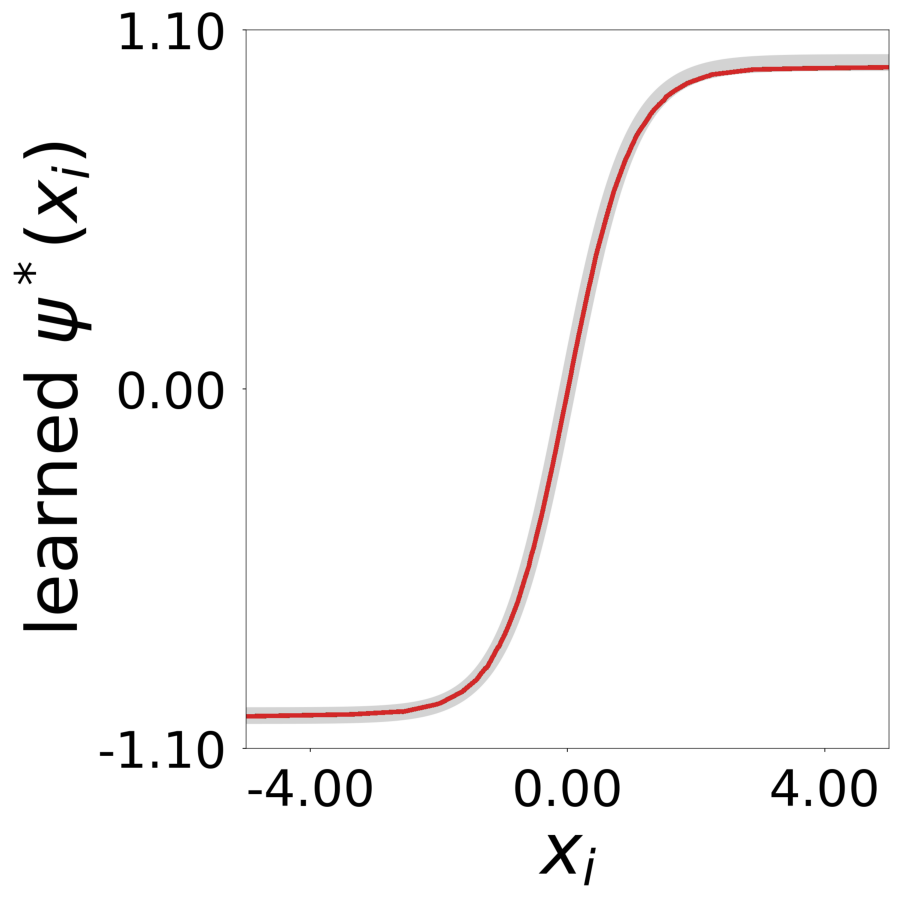
  • Supp. Fig 11h: Learned transfer function \(\psi^*(x)\)
Code
# STEP 3: GNN EVALUATION
print()
print("-" * 80)
print("STEP 3: GNN EVALUATION - Generating Supplementary Figure 11 panels")
print("-" * 80)
print(f"learned connectivity matrix (64M weights)")
print(f"W learned vs true (R^2, slope)")
print(f"latent vectors a_i (4 clusters)")
print(f"update functions phi*(a_i, x)")
print(f"transfer function psi*(x)")
print(f"output: {log_dir}/results/")
print()
folder_name = './log/' + pre_folder + '/tmp_results/'
os.makedirs(folder_name, exist_ok=True)
data_plot(config=config, config_file=config_file, epoch_list=['best'], style='color', extended='plots', device=device, apply_weight_correction=True, plot_eigen_analysis=False)

Supplementary Figure 11: GNN Evaluation Results

Supp. Fig 11d: Learned connectivity (8000×8000 = 64 million weights).

Supp. Fig 11e: Comparison of learned and true connectivity (given \(g_i\)=10). Expected: \(R^2\)=1.00, slope=1.00.

Supp. Fig 11f: Learned latent vectors \(a_i\) of all 8000 neurons.

Supp. Fig 11g: Learned update functions \(\phi^*(a_i, x)\). The plot shows 8000 overlaid curves. Colors indicate true neuron types. True functions are overlaid in light gray.

Supp. Fig 11h: Learned transfer function \(\psi^*(x)\), normalized to a maximum value of 1. True function is overlaid in light gray.