Supplementary Figure 7: Effect of training dataset size

Neural Activity
Simulation
GNN Training
Author

Cédric Allier, Stephan Saalfeld

This script reproduce the panels of paper’s Supplementary Figure 7. Performance scales with the length of the training series. This notebook displays connectivity matrix comparison, \(\phi^*\) plots, \(\psi^*\) plots, and learned embedding for each dataset size.

Simulation parameters (constant across all experiments):

The simulation follows Equation 2 from the paper:

\[\frac{dx_i}{dt} = -\frac{x_i}{\tau_i} + s_i \cdot \tanh(x_i) + g_i \cdot \sum_j W_{ij} \cdot \tanh(x_j)\]

Variable: Training dataset size (n_frames)

Config n_frames
signal_fig_2 100,000
signal_fig_supp_7_1 50,000
signal_fig_supp_7_2 40,000
signal_fig_supp_7_3 30,000
signal_fig_supp_7_4 20,000
signal_fig_supp_7_5 10,000

Configuration

Code
import glob

print()
print("=" * 80)
print("Supplementary Figure 7: Effect of Training Dataset Size")
print("=" * 80)

# All configs to process (config_name, n_frames)
config_list = [
    ('signal_fig_2', 100000),
    ('signal_fig_supp_7_1', 50000),
    ('signal_fig_supp_7_2', 40000),
    ('signal_fig_supp_7_3', 30000),
    ('signal_fig_supp_7_4', 20000),
    ('signal_fig_supp_7_5', 10000),
]

device = []
best_model = ''
config_root = "./config"

Steps 1-3: Generate, Train, and Plot for all configs

Loop over all dataset sizes: generate data, train GNN, and generate plots. Skips steps if data/models already exist.

Code
for config_file_, n_frames in config_list:
    print()
    print("=" * 80)
    print(f"Processing: {config_file_} (n_frames={n_frames:,})")
    print("=" * 80)

    config_file, pre_folder = add_pre_folder(config_file_)

    # Load config
    config = NeuralGraphConfig.from_yaml(f"{config_root}/{config_file}.yaml")
    config.config_file = config_file
    config.dataset = config_file

    if device == []:
        device = set_device(config.training.device)

    log_dir = f'./log/{config_file}'
    graphs_dir = f'./graphs_data/{config_file}'

    # STEP 1: GENERATE
    print()
    print("-" * 80)
    print("STEP 1: GENERATE - Simulating neural activity")
    print("-" * 80)

    data_file = f'{graphs_dir}/x_list_0.npy'
    if os.path.exists(data_file):
        print(f"data already exists at {graphs_dir}/")
        print("skipping simulation, regenerating figures...")
        data_generate(
            config,
            device=device,
            visualize=False,
            run_vizualized=0,
            style="color",
            alpha=1,
            erase=False,
            bSave=True,
            step=2,
            regenerate_plots_only=True,
        )
    else:
        print(f"simulating {config.simulation.n_neurons} neurons, {config.simulation.n_frames} frames")
        print(f"output: {graphs_dir}/")
        data_generate(
            config,
            device=device,
            visualize=False,
            run_vizualized=0,
            style="color",
            alpha=1,
            erase=False,
            bSave=True,
            step=2,
        )

    # STEP 2: TRAIN
    print()
    print("-" * 80)
    print("STEP 2: TRAIN - Training GNN")
    print("-" * 80)

    model_files = glob.glob(f'{log_dir}/models/*.pt')
    if model_files:
        print(f"trained model already exists at {log_dir}/models/")
        print("skipping training (delete models folder to retrain)")
    else:
        print(f"training for {config.training.n_epochs} epochs")
        print(f"n_frames: {config.simulation.n_frames}")
        data_train(
            config=config,
            erase=False,
            best_model=best_model,
            style='color',
            device=device
        )

    # STEP 3: PLOT
    print()
    print("-" * 80)
    print("STEP 3: PLOT - Generating figures")
    print("-" * 80)

    folder_name = f'{log_dir}/tmp_results/'
    os.makedirs(folder_name, exist_ok=True)

    data_plot(
        config=config,
        config_file=config_file,
        epoch_list=['best'],
        style='color',
        extended='plots',
        device=device,
        apply_weight_correction=True,
        plot_eigen_analysis=False
    )

    # STEP 4: TRAINING PROGRESSION (R² over iterations)
    print()
    print("-" * 80)
    print("STEP 4: TRAINING PROGRESSION - Computing R² over iterations")
    print("-" * 80)

    r2_file = f'{log_dir}/results/all/r2_over_iterations.json'
    if os.path.exists(r2_file):
        print(f"R² data already exists at {r2_file}")
        print("skipping (delete results/all/ folder to recompute)")
    else:
        data_plot(
            config=config,
            config_file=config_file,
            epoch_list=['all'],
            style='color',
            extended='plots',
            device=device,
            apply_weight_correction=True,
            plot_eigen_analysis=False,
        )

Connectivity Matrix Comparison

Learned vs true connectivity matrix \(W_{ij}\) after training. The scatter plot shows \(R^2\) and slope metrics.

Fig 2e: Connectivity comparison (n_frames=100,000)

Connectivity comparison (n_frames=50,000)

Connectivity comparison (n_frames=40,000)

Connectivity comparison (n_frames=30,000)

Connectivity comparison (n_frames=20,000)

Connectivity comparison (n_frames=10,000)

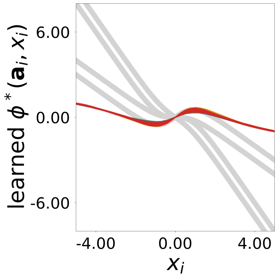
Update Function \(\phi^*(\mathbf{a}_i, x)\) (MLP0)

Learned update functions after training. Each curve represents one neuron. Colors indicate true neuron types. True functions overlaid in gray.

Fig 2g: Update functions \(\phi^*(a_i, x)\) (n_frames=100,000). True functions are overlaid in light gray.

Update functions \(\phi^*(a_i, x)\) (n_frames=50,000). True functions are overlaid in light gray.

Update functions \(\phi^*(a_i, x)\) (n_frames=40,000). True functions are overlaid in light gray.

Update functions \(\phi^*(a_i, x)\) (n_frames=30,000). True functions are overlaid in light gray.

Update functions \(\phi^*(a_i, x)\) (n_frames=20,000). True functions are overlaid in light gray.

Update functions \(\phi^*(a_i, x)\) (n_frames=10,000). True functions are overlaid in light gray.

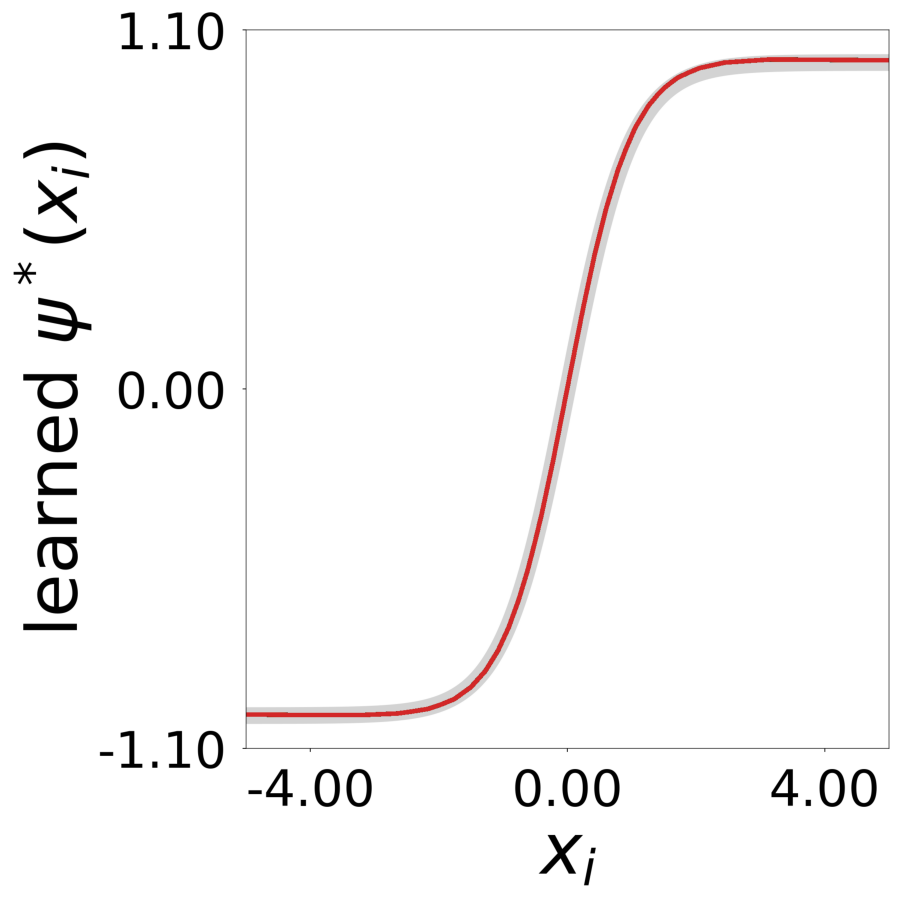
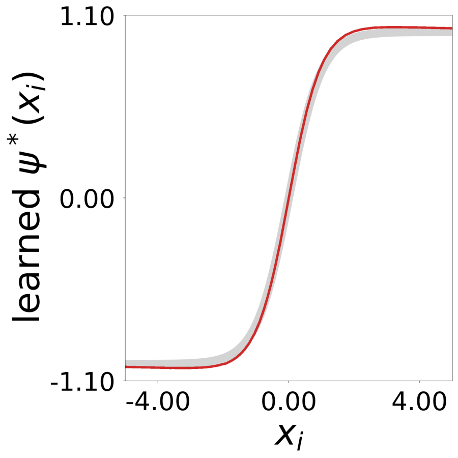
Transfer Function \(\psi^*(x)\) (MLP1)

Learned transfer function after training, normalized to max=1. True function overlaid in gray.

Fig 2h: Transfer function \(\psi^*(x)\) (n_frames=100,000). True function overlaid in light gray.

Transfer function \(\psi^*(x)\) (n_frames=50,000). True function overlaid in light gray.

Transfer function \(\psi^*(x)\) (n_frames=40,000). True function overlaid in light gray.

Transfer function \(\psi^*(x)\) (n_frames=30,000). True function overlaid in light gray.

Transfer function \(\psi^*(x)\) (n_frames=20,000). True function overlaid in light gray.

Transfer function \(\psi^*(x)\) (n_frames=10,000). True function overlaid in light gray.

Latent Embeddings \(\mathbf{a}_i\)

Learned latent vectors for all neurons. Colors indicate true neuron types.

Fig 2f: Latent embeddings \(a_i\) (n_frames=100,000).

Latent embeddings \(a_i\) (n_frames=50,000).

Latent embeddings \(a_i\) (n_frames=40,000).

Latent embeddings \(a_i\) (n_frames=30,000).

Latent embeddings \(a_i\) (n_frames=20,000).

Latent embeddings \(a_i\) (n_frames=10,000).

R² Connectivity Over Training Iterations

\(R^2\) between learned and true connectivity \(W_{ij}\) plotted as a function of training iterations for each dataset size.

Code
print()
print("-" * 80)
print("Generating R² over iterations comparison plot")
print("-" * 80)
output_r2 = plot_r2_over_iterations(
    config_list=config_list,
    output_path='./log/signal/tmp_results/r2_over_iterations.png',
    device=device,
)

\(Supp. Fig 7: R^2\) connectivity over training iterations for different dataset sizes.