Supplementary Figures 3 and 4: 1000 neurons with 4 types, training with fixed embedding

Neural Activity
Simulation
GNN Training
Author

Cédric Allier, Stephan Saalfeld

This script reproduces the panels of paper’s Supplementary Figures 3 and 4. To assess the importance of learning latent neuron types, we trained a GNN with fixed embedding. Models that ignore the heterogeneity of neural populations are poor approximations of the underlying dynamics

Simulation parameters:

The simulation follows Equation 2 from the paper:

\[\frac{dx_i}{dt} = -\frac{x_i}{\tau_i} + s_i \cdot \tanh(x_i) + g_i \cdot \sum_j W_{ij} \cdot \tanh(x_j)\]

Configuration and Setup

Code
print()
print("=" * 80)
print("Supplementary Figure 3: 1000 neurons, 4 types, dense connectivity, no embedding")
print("=" * 80)

device = []
best_model = ''
config_file_ = 'signal_fig_supp_3'

print()
config_root = "./config"
config_file, pre_folder = add_pre_folder(config_file_)

# load config
config = NeuralGraphConfig.from_yaml(f"{config_root}/{config_file}.yaml")
config.config_file = config_file
config.dataset = config_file

if device == []:
    device = set_device(config.training.device)

log_dir = f'./log/{config_file}'
graphs_dir = f'./graphs_data/{config_file}'

Step 1: Generate Data

Generate synthetic neural activity data using the PDE_N2 model. This creates the training dataset with 1000 neurons over 100,000 time points.

Outputs:

  • Sample of 100 time series
  • True connectivity matrix \(W_{ij}\)
Code
# STEP 1: GENERATE
print()
print("-" * 80)
print("STEP 1: GENERATE - Simulating neural activity")
print("-" * 80)

# Check if data already exists
data_file = f'{graphs_dir}/x_list_0.npy'
if os.path.exists(data_file):
    print(f"data already exists at {graphs_dir}/")
    print("skipping simulation, regenerating figures...")
    data_generate(
        config,
        device=device,
        visualize=False,
        run_vizualized=0,
        style="color",
        alpha=1,
        erase=False,
        bSave=True,
        step=2,
        regenerate_plots_only=True,
    )
else:
    print(f"simulating {config.simulation.n_neurons} neurons, {config.simulation.n_neuron_types} types")
    print(f"generating {config.simulation.n_frames} time frames")
    print(f"output: {graphs_dir}/")
    print()
    data_generate(
        config,
        device=device,
        visualize=False,
        run_vizualized=0,
        style="color",
        alpha=1,
        erase=False,
        bSave=True,
        step=2,
    )

Supp. Fig 3b: Sample of 100 time series taken from the activity data.

Supp. Fig 3c: True connectivity \(W_{ij}\). The inset shows 20×20 weights.

Step 2: Train GNN

Train the GNN to learn connectivity \(W\) and functions \(\phi^*/\psi^*\) (without latent embeddings). The GNN learns to predict \(dx/dt\) from the observed activity \(x\).

The GNN optimizes the update rule (Equation 3 from the paper):

\[\hat{\dot{x}}_i = \phi^*(x_i) + \sum_j W_{ij} \psi^*(x_j)\]

where \(\phi^*\) and \(\psi^*\) are MLPs (ReLU, hidden dim=64, 3 layers) and \(W\) is the learnable connectivity matrix.

Code
# STEP 2: TRAIN
print()
print("-" * 80)
print("STEP 2: TRAIN - Training GNN to learn W, phi, psi (no embeddings)")
print("-" * 80)

# Check if trained model already exists (any .pt file in models folder)
import glob
model_files = glob.glob(f'{log_dir}/models/*.pt')
if model_files:
    print(f"trained model already exists at {log_dir}/models/")
    print("skipping training (delete models folder to retrain)")
else:
    print(f"training for {config.training.n_epochs} epochs, {config.training.n_runs} run(s)")
    print(f"learning: connectivity W, functions phi* and psi* (no embeddings)")
    print(f"models: {log_dir}/models/")
    print(f"training plots: {log_dir}/tmp_training")
    print(f"tensorboard: tensorboard --logdir {log_dir}/")
    print()
    data_train(
        config=config,
        erase=False,
        best_model=best_model,
        style='color',
        device=device
    )

Step 3: GNN Evaluation

Figures matching Supplementary Figure 3 from the paper.

Figure panels:

  • Supp. Fig 3d: Learned connectivity matrix
  • Supp. Fig 3e: Comparison of learned vs true connectivity
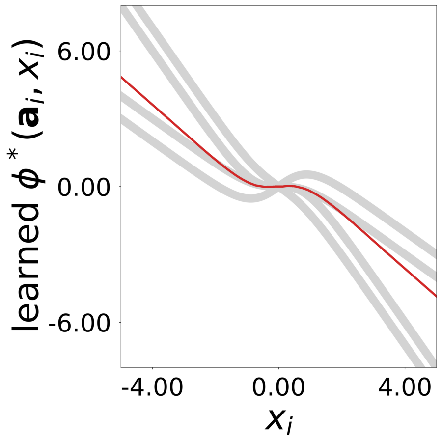
  • Supp. Fig 3g: Learned update functions \(\phi^*(x)\)
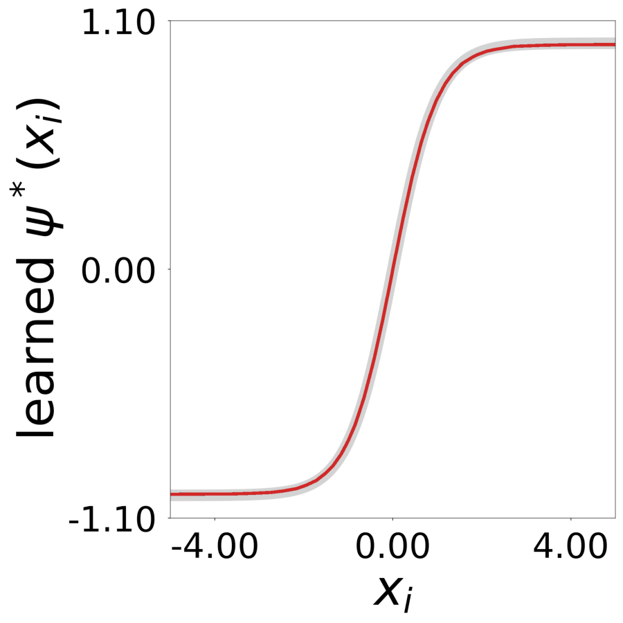
  • Supp. Fig 3h: Learned transfer function \(\psi^*(x)\)
Code
# STEP 3: GNN EVALUATION
print()
print("-" * 80)
print("STEP 3: GNN EVALUATION - Generating Supplementary Figure 3 panels")
print("-" * 80)
print(f"learned connectivity matrix")
print(f"W learned vs true (R^2, slope)")
print(f"update functions phi*(x)")
print(f"transfer function psi*(x)")
print(f"output: {log_dir}/results/")
print()
folder_name = './log/' + pre_folder + '/tmp_results/'
os.makedirs(folder_name, exist_ok=True)
data_plot(config=config, config_file=config_file, epoch_list=['best'], style='color', extended='plots', device=device, apply_weight_correction=True, plot_eigen_analysis=False)

Supplementary Figure 3: GNN Evaluation Results

Supp. Fig 3d: Learned connectivity.

Supp. Fig 3e: Comparison of learned and true connectivity (given \(g_i\)=10).

Supp. Fig 3g: Learned update functions \(\phi^*(x)\). True function is overlaid in light gray.

Supp. Fig 3h: Learned transfer function \(\psi^*(x)\), normalized to a maximum value of 1. True function is overlaid in light gray.

Step 4: Test Model

Test the trained GNN model. Evaluates prediction accuracy and performs rollout inference.

Code
# STEP 4: TEST
print()
print("-" * 80)
print("STEP 4: TEST - Evaluating trained model")
print("-" * 80)
print(f"testing prediction accuracy and rollout inference")
print(f"output: {log_dir}/results/")
print()
config.simulation.noise_model_level = 0.0

data_test(
    config=config,
    visualize=False,
    style="color name continuous_slice",
    verbose=False,
    best_model='best',
    run=0,
    test_mode="",
    sample_embedding=False,
    step=10,
    n_rollout_frames=1000,
    device=device,
    particle_of_interest=0,
    new_params=None,
)

Rollout Results

Display the rollout comparison figures showing: - Left panel: activity traces (ground truth gray, learned colored) - Right panel: scatter plot of true vs learned \(x_i\) with \(R^2\) and slope

Supp. Fig 4ab: Rollout comparison up to time-point 400.

Supp. Fig 4cd: Rollout comparison up to time-point 800.